合作客戶/
拜耳公司 |
同濟大學 |
聯合大學 |
美國保潔 |
美國強生 |
瑞士羅氏 |
相關新聞Info
推薦新聞Info
-
> 一套低溫、高壓懸滴法表面張力實驗測量系統實踐效果(三)
> 一套低溫、高壓懸滴法表面張力實驗測量系統實踐效果(二)
> 一套低溫、高壓懸滴法表面張力實驗測量系統實踐效果(一)
> 不同溫度下純有機物液體表面張力估算方法及關聯方程(二)
> 不同溫度下純有機物液體表面張力估算方法及關聯方程(一)
> ?工藝因素對植物纖維活性發泡材料表面張力的影響
> 印刷掉墨現象:真空噴鋁轉移紙儲存時間與涂層表面張力、結合牢度關聯性研究(三)
> 印刷掉墨現象:真空噴鋁轉移紙儲存時間與涂層表面張力、結合牢度關聯性研究(二)
> 印刷掉墨現象:真空噴鋁轉移紙儲存時間與涂層表面張力、結合牢度關聯性研究(一)
> 煤體潤濕性與水溶液表面張力關系的實驗分析【下】
水分子與磷脂分子作用力重建:摘要、介紹、方法
來源:上海謂載 瀏覽 2035 次 發布時間:2022-02-21
摘要
了解DNA/脂質相互作用的分子機制對于優化脂質輔因子在基因治療中的應用至關重要。在這里我們通過使用無標簽振動和頻(VSF)光譜來研究DNA與陽離子脂質DPTAP(1,2-二棕櫚酰-3-三甲基銨-丙烷)和二氫14-氨基以及兩性離子脂質DPPC(1,2-二棕櫚酰-sn-甘油-3-磷酸膽堿)的脂質單層的相互作用來解決這個問題缺鈣。我們的方法的優點是既能明確探測分子間的相互作用,又能洞察脂質界面DNA周圍的水和脂質結構。通過研究界面D2O的OD延伸,我們發現,含有吸附在陽離子上的DNA的系統和含有吸附在兩性離子脂質單層上的DNA的系統(在存在或不存在Ca2+的情況下)的水結構存在顯著差異。陽離子體系中界面水的光譜響應與高度結構化、欠協調、結構化的“類型”水一致。此外,通過對雙14-酰胺脂尾的CH拉伸模式的研究,我們證明DNA對該脂的吸附導致脂尾的有序性增加。
介紹
控制特定基因轉染的能力具有巨大的潛在治療效益。應對這一挑戰的一種方法是使用轉基因病毒,也就是借用進化論的解決方案來應對生物物理挑戰,即將遺傳物質從細胞外、穿過質膜進入細胞核。雖然這種基因轉染方法非常有效,但它不僅對特定類型的細胞具有特異性,而且常常會產生意想不到的毒副作用。1-5由于這些原因,在過去的20年里,人們投入了大量精力來合成輔因子,這些輔因子與細胞外的DNA復合,并將其引導至細胞核。由于通用性(適用于多種細胞類型)、效率(需要相對少量的DNA)和無毒性的要求,工程化這些輔因子是一項挑戰。
為了理解挑戰,有助于考慮這樣的輔助因子應該具備的性質。溶液中形成的復合物應在細胞外穩定,并應促進多陰離子DNA與帶負電質膜外小葉的相互作用。接下來,在細胞攝取后,復合物應該有助于穩定DNA,直到擴散使其接近細胞核。最后,復合物應足夠不穩定,當相對靠近細胞核時,DNA將釋放到細胞質中。繼15-20年前Felgner等人的開創性研究之后,關于這一挑戰的大部分工作都集中在使用陽離子脂質作為絡合劑上。選擇6,7陽離子脂質是因為它們在溶液中與聚陰離子DNA形成不帶正電荷或稍帶正電荷的穩定聚集體(脂復合物)。因此,脂復合物通過降低DNA的陰離子性質,從而降低DNA接近質膜的靜電屏障,從而滿足合成輔助因子的第一個要求。將這種脂復合物的轉染效率的體內研究結果與類似復合物的體外結構研究結果進行比較,已闡明跨質膜的基因轉移主要通過內吞作用進行,而內體的轉移效率是聚集體結構和電荷的函數類脂頭型。8-11脂叢結構的體外研究,主要是X射線、中子和粗粒度計算研究,已闡明通過改變陽離子脂質頭基的電荷,改變陽離子與兩性脂質的比例(在由兩性脂質+陽離子脂質+DNA組成的脂叢中),可以靈敏地調整結構,改變脂質-DNA比率,改變小離子的價態和濃度也存在。12-27
雖然體內轉染和成像研究以及體外結構研究對于通過合成載體優化基因轉染非常重要,但此類研究揭示的信息有限。例如,總的來說,這些方法對脂質體形成的自由能或脂質體內部或脂質體與內體之間的詳細分子水平相互作用等潛在重要問題提供了有限的見解。為了克服前者的缺點,進行了一系列的量熱法、28-31壓力等溫線和石英晶體微天平測量。31,33了解DNA/脂質/界面水相互作用的分子細節如何影響脂質復合體結構,了解分子水平信息如何影響納米到微米尺度的結構,然而,更為復雜。在計算領域,這類研究具有挑戰性,因為問題是多尺度的:理想情況下,人們希望深入了解發生在數百飛秒到分鐘的時間尺度和埃到毫米的空間尺度上的過程。24在實驗領域,找到既能充分發揮表面敏感性又能發揮特異性的方法是一項挑戰。幾位作者利用熒光技術解決了這個方程的靈敏度部分,盡管不是表面特異性。34-36雖然這些研究提供了對膜水合作用和流動性的洞察,但這些結論通常都是間接的(通過對熒光團響應的變化及其局部分子環境的變化進行經驗校準得出),并且需要使用可能干擾這一微妙系統的熒光標記。
關于脂叢中分子水平相互作用的信息可以通過振動光譜以無標記的方式直接獲得。為了實現這一目標,幾位作者對各種DNA/脂質系統進行了紅外吸光度測量。17,18,37該方法主要用于通過量化DNA特定官能團的吸光度來測量表面的DNA量。然而,由于紅外吸收缺乏固有的表面敏感性/特異性,很少有人嘗試利用DNA、脂質或界面水模式的振動光譜響應的變化來理解DNA與脂質的絡合。
在這項研究中,我們通過應用振動和頻產生(VSF)光譜來獲得DNA、脂質和界面水之間相互作用的分子水平圖像,從而克服了表面特異性/敏感性的挑戰。VSF是一種二階非線性光學技術,其中脈沖可見光和紅外激光束在空間和時間的界面上重疊,并在兩個輸入頻率的總和上產生發射。根據對稱性選擇規則,和頻過程是特定于界面的(在具有反轉對稱性的體相之間),并且是振動光譜,因為當紅外光束的能量與界面分子的分子振動共振時,發射可以增加許多數量級。也就是說,VSF光譜是一種界面特定的振動光譜,非常適合描述水界面的分子結構。38-40之前的工作已經證明了VSF光譜(及其非共振模擬二次諧波產生(SHG)光譜)的適用性,可用于定量小分子(小于20 bp)主要是單組分單鏈和雙鏈DNA的雙鏈形成和DNA構象,共價連接到固體基質,41-47以及在水/脂質/空氣界面上更長的DNA鏈的脂質-DNA相互作用。48目前的研究表明,VSF光譜有助于闡明脂質、界面水和任意組成的DNA鏈之間的分子水平相互作用。
盡管如上所述,有很多證據表明脂質復合物的結構和轉染效率是脂質頭基電荷密度的函數(對于陽離子脂質),但并非所有陽離子脂質都適合這種應用。一般來說,轉染效率的提高(隨著脂質濃度的增加)和細胞毒性(部分原因是脂質和硫酸化表面蛋白多糖組之間的相互作用10)之間存在權衡。事實上,我們之前研究中使用的陽離子脂質,48 1,1-二棕櫚酰-3-三甲基丙烷銨(DPTAP),已知在遠低于可觀的基因轉染所需濃度時對哺乳動物細胞有毒。在這里,我們通過進一步報道DNA與(i)陽離子脂質diC14-氨基的相互作用來擴展我們之前的工作,過去15年的大量工作證明了其低毒性和基因轉染的適用性;49和(ii)無毒的兩性離子脂質二棕櫚酰磷脂酰膽堿(DPPC),無論是否存在鈣(其中研究了鈣的添加,因為之前的各種研究已經證明,在存在這種離子的情況下,DNA和DPPC之間的相互作用變得更有利16-19,31,33,50)。我們通過監測DNA吸附時OD拉伸(在界面D2O或HOD中)的振動振幅和線形的變化,直接跟蹤DNA與每種脂質類型的相互作用。我們發現,與之前采用其他技術的研究一致,這種相互作用本質上主要是靜電作用:陽離子脂質與DNA的相互作用類似,并且這種相互作用在鈣存在和不存在的情況下都不同于DNA和DPPC。
此外,由于我們對雙14-氨基特別感興趣,我們還量化了DNA與該單層的相互作用如何導致脂質尾部的有序化(通過VSF光譜和壓力/面積等溫線)。在之前的一項研究中,Benatti及其同事利用電子自旋共振光譜和自旋標記脂質探索了DNA在雙氰胺雙分子層相上的吸附效應,以及溫度對吸附的影響。這項研究的結果表明,DNA的吸附使凝膠相雙14胺(低于23°C)流態化,并使流體雙層(高于23°C):隨著溫度的升高,DNA的吸附起到了平滑凝膠/流體相變的作用。因此,我們的VSF觀察結果提供了一個分子水平的視圖,使用一個無標記的實驗探針,觀察了伴隨這一diC14氨基/DNA相的脂質尾部結構的變化。總的來說,這些結果表明,VSF光譜學在脂叢形成研究中的應用使我們能夠看到脂叢結構的各個方面,而這些方面很難通過其他手段進行研究,因此,VSF光譜學是優化合成基因治療的有用工具。
方法
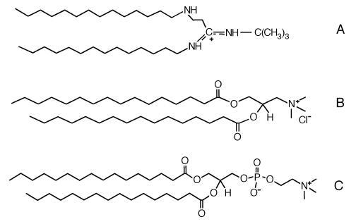
實驗細節。本研究中使用的D2O是從劍橋同位素實驗室(MA)獲得的,純度為99.96%,用于接收。對本研究中使用的H2O進行蒸餾,然后使用微孔裝置進行過濾,最終電阻率為18.2m?·厘米1,2-二棕櫚酰-3-三甲基銨-丙烷(DPTAP)和1,2-二棕櫚酰-sn-甘油-3-磷酸膽堿(DPPC)從Avanti Polar Lipses(AL)購買,前者作為氯鹽,并在收到時使用。使用之前發布的程序49合成了雙氰胺(所有脂質結構見圖1)。λ-噬菌體DNA(每個分子的長度由制造商指定為48 502個堿基對)從德國酵素公司購買,并在H2O中接收。在我們的大多數實驗中,我們需要D2O中的DNA。為此,使用QIAEX II凝膠提取試劑盒(Qiagen)從H2O中提取DNA,然后溶解在TRIS緩沖D2O(10 mM TRIS HCl,pD)7中。該程序重復三次,以確保低濃度的H2O和最終的DNA回收≈80%(通過260 nm處的DNA吸光度進行量化)。我們沒有確認該樣本制備程序保留了DNA鏈長度。
圖1.(A)雙14酰胺的分子結構;(B)DPTAP;和(C)DPPC。
我們的VSF光譜設置已經在前面詳細描述過。51簡言之,我們采用了一種再生放大鈦寶石系統(Legend,Coherent,Inc.),該系統經過優化,可用于生產鈦寶石≈100fs脈沖,中心波長為800nm,帶寬為12nm;使用商用光學參量放大器和差頻產生裝置(TOPAS,light Conversion,立陶宛)將800 nm光的1 mJ/脈沖用于產生可調諧的中紅外脈沖,而使用一個或兩個標準具(用于聚焦于CH拉伸的測量)將0.5 mJ的光譜變窄。在產生IR和800 nm光譜變窄后,兩束光束都通過半波片和偏振器,并以相對于表面法線(分別為IR和可見光)40°和35°的反射幾何結構撞擊樣品。采樣后,過濾掉所有剩余的800 nm光,將VSF信號聚焦到光譜儀(Acton Instruments)中,在光譜儀中通過光柵將其分散,并聚焦到電子倍增電荷耦合器件(emCCD)攝像機(牛頓和或)上。本研究中報告的所有光譜均在ssp偏振條件下收集(s偏振SF、s偏振可見光、p偏振紅外)。所有測量均在21.5°C下進行。
在這項研究中,我們對OD和CH拉伸區域的光譜響應感興趣,分別為紅外頻率的2100-2700和2800-3000 cm-1。由于紅外光源的帶寬小于OD拉伸振動的線寬,我們需要通過系統地改變TOPAS中兩個非線性晶體相對于入射光的角度來掃描紅外頻率。這個過程的結果是,紅外功率在我們期望的頻率范圍內是不均勻的。我們通過將所有脂質/DNA光譜除以相同頻率范圍內的光譜(從z切石英測量)來糾正這種不均勻性。我們的TOPAS/差頻發生器在產生3400 cm-1以上頻率的光時效率相對較低。正是出于這個原因,我們研究了D2O和HOD的OD延伸,而不是H2O和HOD的OH延伸。我們和其他人的廣泛比較發現,OD光譜可以線性縮放以定量恢復OH光譜:用重水代替光不會影響分子結構(在VSF光譜中可見的程度)。
之前的一些研究使用VSF光譜法對含有末端附著在固體表面上的DNA的系統的CH拉伸頻率區域進行了研究,報告了來自DNA43,44的VSF活性CH模式,而其他研究則沒有。42,45那些觀察到DNA CH模式的研究以其核堿基序列的相對簡短和簡單而著稱。我們的DNA鏈比這些研究中使用的DNA鏈長2000-5000倍,物理吸附在界面上(因此可能具有較小的長程順序),并且化學上不均勻。這些考慮表明,正如我們確實發現的那樣,在我們的實驗系統中,DNA本身沒有VSF活性CH模式。
脂質儲備溶液在氯仿中制備。在有無DNA的情況下,通過在含有D2O和tris緩沖液的亞相上滴加這些儲備溶液制備單層。光學分析是在自制的聚四氟乙烯槽中制備的樣品上進行的。使用商用張力計(芬蘭基布隆)對這些水槽中的表面壓力進行量化。高分辨率壓力(π)/面積等溫線是在帶有移動屏障的商用槽(微型槽X,Kibron,芬蘭)上測量的。
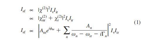
數據分析。最后,我們希望比較不同振動模式的光譜振幅和線型,作為亞相DNA濃度的函數。由于VSF是一種相干光譜,并且我們的數據包含可能會干擾的多個共振,因此很難通過檢查原始數據來推斷光譜振幅。根據之前的作者,我們通過將和頻響應建模為洛倫茲的集合,并附加非共振貢獻(其中(2)是二階磁化率,Iv是入射可見光場的強度,Iir是入射紅外場的強度,Anr是非共振振幅,φnr是非共振相位,An是振動模n的振幅,ωn是振動模n的中心頻率,ωir是紅外場的頻率,Γn是振動模n)52的均勻線寬
在下面的內容中,我們主要感興趣的是比較提取的光譜振幅除以線寬:An/Γn。為了便于與測量的和頻強度進行比較,我們繪制(An/Γn)2。我們通過使用等式1擬合數據并在商用分析和繪圖程序Igor Pro(Wavemetrics,OR)中實現Levenberg-Marquardt算法來提取這些量。如下文所述,我們主要感興趣的是使用這種數據擬合來提取光譜振幅隨DNA濃度變化的定性趨勢。因此,我們沒有嘗試在數據分析中詳盡地探索模型參數的相空間。





