合作客戶/
拜耳公司 |
同濟大學 |
聯合大學 |
美國保潔 |
美國強生 |
瑞士羅氏 |
相關新聞Info
推薦新聞Info
-
> 一套低溫、高壓懸滴法表面張力實驗測量系統實踐效果(三)
> 一套低溫、高壓懸滴法表面張力實驗測量系統實踐效果(二)
> 一套低溫、高壓懸滴法表面張力實驗測量系統實踐效果(一)
> 不同溫度下純有機物液體表面張力估算方法及關聯方程(二)
> 不同溫度下純有機物液體表面張力估算方法及關聯方程(一)
> ?工藝因素對植物纖維活性發泡材料表面張力的影響
> 印刷掉墨現象:真空噴鋁轉移紙儲存時間與涂層表面張力、結合牢度關聯性研究(三)
> 印刷掉墨現象:真空噴鋁轉移紙儲存時間與涂層表面張力、結合牢度關聯性研究(二)
> 印刷掉墨現象:真空噴鋁轉移紙儲存時間與涂層表面張力、結合牢度關聯性研究(一)
> 煤體潤濕性與水溶液表面張力關系的實驗分析【下】
牡蠣低分子肽LOPs雙重乳液制備、界面性質檢測及消化吸收特性研究(二)
來源:食品科學技術學報 瀏覽 541 次 發布時間:2025-07-04
1.3實驗方法
1.3.1 LOPs的制備
新鮮牡蠣開殼后取出全肉,牡蠣肉與水按照料液比為1∶3(g:mL)進行勻漿處理,8 000 r/min勻漿2 min,按3 300 U/g加入動物蛋白酶,47℃下酶解3 h,酶解后于95℃滅酶10 min,于4 500 r/min離心20 min,收集上清液。用超濾膜過濾上清液,將濾液濃縮處理后進行噴霧干燥,即可獲得LOPs。
1.3.2 LOPs界面性質檢測
1.3.2.1 LOPs濕潤性測定
采用全自動界面黏彈性測量儀測定LOPs的三相接觸角θ,將LOPs薄片(厚度為1 mm、直徑為10 mm)置于載物臺后(環境為氣相),向下緩慢移動針管(懸掛8μL的液滴)使得液滴(液相)轉移至薄片(固相),利用系統攝像機拍攝記錄圖像。在每個片劑表面的不同位置進行測量,測量結果取平均值。
1.3.2.2 LOPs水溶液界面張力測定
池內,形成18μL的LOPs液滴浸沒于大豆油中,懸掛時間為600 s。在室溫(25℃)下,使用儀器自帶軟件分析液滴輪廓,并監測液滴形狀的動態變化,根據楊氏方程(Laplace-Young)擬合結果計算液滴的界面張力。
1.3.3 LOPs雙重乳液制備及體外模擬消化吸收特性測定
1.3.3.1 LOPs的W1/O/W2型雙重乳液制備
通過兩步法制備雙重乳液,制備流程及分子模型見圖1。操作步驟:將內、外水相及油相攪拌15 min,混勻后于4℃避光貯藏12 h備用;第一步,將質量分數為20%的LOPs水溶液作內水相,內水相與油相的質量比為4∶6。將內水相加入含有PGPR(質量分數為5%)的大豆油中,先經高速剪切機(12 000 r/min,2 min)混合后,再經高壓均質機在70 MPa條件下循環3次,獲得W1/O初乳液。第二步,將質量分數為0.8%的吐溫80水溶液作外水相,W1/O乳液與外水相的質量比為5∶5。將W1/O乳液加入外水相后,再用高速剪切機(4 000 r/min,1 min)混合,并經高壓均質機在30 MPa的條件下均質1次,獲得LOPs的W1/O/W2型雙重乳液,于4℃條件下存儲。
圖1 LOPs雙重乳液制備流程及其分子模型
1.3.3.2體外模擬消化液的配制與消化實驗
模擬消化液是由相應的電解質溶液、酶、CaCl2和膽酸鹽組成。按表1配制各階段的模擬消化液,其中,采用NaOH、HCl調節模擬消化液的pH值(模擬唾液的pH值為7、模擬胃液的pH值為3和模擬腸液的pH值為7),CaCl2(H2O)2可在酸環境下形成CaCl2。將模擬消化液與新鮮乳液、上一階段消化后的乳液以體積比1∶1混合,于37℃,120 r/min的條件下進行模擬消化,模擬口腔消化時長5 min,模擬胃消化和腸道消化時長均為2 h。取各階段消化產物與新鮮未消化乳液用于分析測定,比較模擬消化前后乳液的粒徑、包封率與顯微結構的變化情況。
表1模擬消化液的配制
括號中帶*數字為最終消化混合物中相應的Ca2+濃度。
1.3.3.3粒徑測定
采用馬爾文納米粒度儀,室溫條件下測定乳液粒徑,于折射率為1.33,光散射角度為173°條件下,測定乳液的平均粒徑、多分散指數(polydispersity index,PDI)和粒徑分布。
1.3.3.4光學顯微鏡觀察
取樣品約5μL滴加于載玻片上,使用光學顯微鏡于100倍油鏡物鏡視野下進行觀察,利用系統攝像機記錄微觀形態照片。
1.3.3.5包封率測定
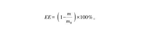
取6 g待測樣品與去離子水以質量比1∶1稀釋,輕輕手搖混勻,然后在3 000 r/min、4℃條件下離心10 min。利用注射器針頭收集每個離心樣品的水層(乳液的下層),并使用0.22μm注射器式過濾器過濾油滴后取得濾液。采用BCA蛋白質試劑盒制作LOPs的標準曲線,測定濾液中LOPs的含量,標準曲線方程為:y=0.014 2x+0.166 2(R2=0.979)。包封率(EE)計算公式見式(1)。
(1)
式(1)中,EE為包封率,%;m0為LOPs加入內水相的質量,g;m為從外水相中獲得的游離LOPs的質量,g。
1.3.4 LOPs及其雙重乳液的體外模擬吸收與轉運實驗
1.3.4.1 LOPs及其雙重乳液對Caco-2細胞的毒性實驗
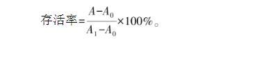
選取生長對數期的Caco-2細胞,將其接種在96孔酶標板(1×105個/孔)并置于培養箱培養(含體積分數為5%的CO2、溫度設為37℃)約24 h后,加入100μL不同濃度(基礎培養基稀釋)的LOPs水溶液及其雙重乳液(稀釋前沸水浴加熱30 min滅菌,乳液未破乳),每個濃度設置6個平行,于含有體積分數為5%的CO2、溫度為37℃的培養箱中培養24 h后,向每孔加入體積為20μL的MTT溶液(5 mg/mL)和80μL基礎培養基,繼續溫育4 h后,除去孔內培養液并向每孔加入150μL的DMSO,將培養板置于搖床上低速振蕩10 min。用酶標儀測定酶標板各孔在490 nm的吸光度。實驗中同時設立正常細胞對照孔(無樣品,有Caco-2細胞、培養液、MTT和DMSO)以及空白對照孔(無樣品,無Caco-2細胞,有培養基、MTT和DMSO)。根據測定的吸光度計算Caco-2細胞的存活率,計算方法見式(2)。
式(2)中,A為樣品吸光度,A0為空白對照組吸光度,A1為正常細胞培養的對照組吸光度。
1.3.4.2 Caco-2單層細胞模型的建立與驗證
構建3個初始細胞密度分別3×105、5×105、10×105個/mL的Caco-2單層細胞模型,用Transwell培養皿接種Caco-2細胞,細胞接種模型見圖2。細胞生長狀態維持21 d左右,前7 d每兩天更換膜兩側培養基,后14 d每天定時更換膜兩側培養基,直到Caco-2細胞完全融合形成完整的單層。通過測定跨膜電阻、堿性磷酸酶(AKP)活性和熒光素鈉通量比較和驗證單層Caco-2細胞模型的完整性、分化狀況和致密性。
圖2 Caco-2細胞接種的Transwell培養皿模型
1)跨膜電阻的測定。采用電阻儀測定并記錄細胞膜兩側的跨膜電阻(trans-epithelial electrical resis-tance,TEER),根據式(3)計算TEER。
TEER=(R-R0)×S。(3)
式(3)中,TEER為跨膜電阻,Ω·cm2;R為頂膜側(AP)的電阻,Ω;R0為基底膜側(BL)的電阻,Ω;S為膜面積(1.12 cm2)。
2)AKP活性測定。采用AKP試劑盒分別測定AP側、BL側的堿性磷酸酶活性,酶活性單位為金氏單位/100 mL(一個金氏單位=7.14 U/L),并計算膜兩側的酶活力比值(AP/BL)。
3)熒光素鈉通量測定。制作490 nm處熒光素鈉的標準吸收曲線;采用培養21 d后的Transwell培養皿,于AP側加入0.5 mL、20μg/mL熒光素鈉溶液(D-hanks平衡液溶解),BL側加入1.5 mL的D-hanks平衡液,每間隔30 min測定BL側在490 nm處的吸收度,并補充BL側平衡液體積至1.5 mL,共計培養2 h。根據式(4)計算熒光素鈉透過率。
式(4)中,mBL側為BL側的熒光素鈉質量,μg;mAP側初始為10μg。
1.3.4.3 Caco-2單層細胞轉運實驗
根據1.3.3.2中的實驗結果,選取合格的細胞模型,測定LOPs溶液、LOPs雙重乳液(依據毒性實驗結果選取)在膜兩側的表觀滲透系數和流出比(表觀滲透系數比值),探究兩者的運輸方式。運輸實驗在兩個方向上進行。AP側→BL側:AP側加入0.5 mL樣品液,BL側加入1.5 mL D-hanks的平衡液。BL側→AP側:在BL側加入1.5 mL樣品液,AP側加入0.5 mL D-hanks平衡液。分別孵育150 min后收集BL側、AP側溶液待測。采用BCA蛋白測定法測定待測液中LOPs含量。根據樣品在兩個方向上的檢測結果計算表觀滲透系數Papp(AP-BL)、Papp(BL-AP)及兩個方向上的表觀滲透系數比值Papp(BL-AP)/Papp(AP-BL),計算方法見式(5)。
式(5)中,Q為AP側或BL側檢測到的轉運量;t為實驗轉運時間(150 min);S為膜面積(1.12 cm2);c0為BL側或AP側樣品的初始濃度。
1.4數據處理
實驗數據以平均值±標準差表示,用OrginPro2024軟件繪圖。用SPSS 26.0軟件采用方差分析進行差異顯著性分析,P<0.05表示差異顯著。





