合作客戶/
拜耳公司 |
同濟大學 |
聯合大學 |
美國保潔 |
美國強生 |
瑞士羅氏 |
相關新聞Info
-
> 水的表面張力現象及其應用
> 鈦基量子點納米復合高性能解水鎖劑制備及表面張力測定
> 微流控器件結構對水/水微囊形成過程、界面張力的影響規律(四)
> 固體、鹽溶液表面張力測量及與其在潔凈硅橡膠表面接觸角的關系研究(二)
> 一文了解什么是?馬蘭格尼效應及其原理、現象和工程應用
> 基于表面張力等分析油酸鈉體系下磁化處理對赤鐵礦和石英浮選分離效果的影響
> 表面張力對生物反應器氣液傳質強化的影響
> 氣溶膠固定劑PAM-b-PVTES合成路線及GPC、DSC、表面張力等性能測試(三)
> 警惕!表面活性劑過期:被忽視的百萬元研發損失風險
> 釕催化劑合成丁炔二醇醚三硅氧烷表面活性劑反應條件及表面張力測定(二)
推薦新聞Info
-
> 一套低溫、高壓懸滴法表面張力實驗測量系統實踐效果(三)
> 一套低溫、高壓懸滴法表面張力實驗測量系統實踐效果(二)
> 一套低溫、高壓懸滴法表面張力實驗測量系統實踐效果(一)
> 不同溫度下純有機物液體表面張力估算方法及關聯方程(二)
> 不同溫度下純有機物液體表面張力估算方法及關聯方程(一)
> ?工藝因素對植物纖維活性發泡材料表面張力的影響
> 印刷掉墨現象:真空噴鋁轉移紙儲存時間與涂層表面張力、結合牢度關聯性研究(三)
> 印刷掉墨現象:真空噴鋁轉移紙儲存時間與涂層表面張力、結合牢度關聯性研究(二)
> 印刷掉墨現象:真空噴鋁轉移紙儲存時間與涂層表面張力、結合牢度關聯性研究(一)
> 煤體潤濕性與水溶液表面張力關系的實驗分析【下】
兩種烷基咪唑亞磷酸酯離子液體熱穩定性、表面張力測定(三)
來源:化工進展 瀏覽 909 次 發布時間:2025-01-16
2結果與討論
2.1結構表征
通過1H和13C核磁數據和元素分析結果確定所合成的離子液體為目標結構,見圖1、圖2。
圖1 1-乙基-3-甲基咪唑亞磷酸甲酯鹽的核磁共振氫譜圖和碳譜圖
圖2 1-乙基-3-甲基咪唑亞磷酸乙酯鹽的核磁共振氫譜圖和碳譜圖
(1)1-乙基-3-甲基咪唑亞磷酸甲酯鹽([Emim][OMP])
淡黃色液體。1H NMR(500MHz,CD3CN)化學位移δ:1.47(t,3H),3.38(d,3H),3.91(s,3H),4.25(q,2H),6.66(d,1H),7.53(q,1H),7.59(q,1H),9.95(s,1H)。13C NMR(125MHz,CD3CN)化學位移δ:14.73,35.54,44.51,49.24,49.27,121.87,123.45,137.89。C7H15N2O3P元素分析:計算值,C 40.78%、H 7.33%、N 13.59%;實驗值,C 40.46%、H 7.36%、N 13.49%。
(2)1-乙基-3-甲基咪唑亞磷酸乙酯鹽([Emim][OEP])
淡黃色液體。1H NMR(500MHz,CD3CN)化學位移δ:1.13(t,3H),1.44(t,3H),3.71(t,2H),3.90(s,3H),4.25(q,2H),6.71(d,1H),7.67(t,1H),7.75(t,1H),10.15(s,1H)。13C NMR(125MHz,CD3CN)化學位移δ:14.85,16.30,16.36,35.50,44.40,58.00,58.03,122.04,123.56,138.10。C8H17N2O3P元素分析:計算值,C 43.63%、H 7.78%、N 12.72%;實驗值,C 43.25%、H 7.82%、N 12.59%。
2.2熱穩定性和相行為
熱重分析曲線如圖3所示,根據熱重分析曲線得到離子液體的Tstart和Tonset,如表1所示。[Emim][OMP]與[Emim][OEP]的熱穩定性相近,分解溫度分別為271.0℃和259.2℃。對比常見的含氟陰離子類離子液體,四氟硼酸鹽([Cnmim][BF4])的Tonset在395~420℃范圍內,六氟磷酸鹽([Cnmim][PF6])的Tonset在400~430℃范圍內,三氟甲磺酰亞胺鹽([Cnmim][Tf2N])的Tonset在390~440℃范圍內。因此,[Emim][OMP]與[Emim][OEP]的熱穩定性,相比含氟陰離子類離子液體要更差。但與烷基咪唑鹵鹽(Tonset=255~280℃)和烷基咪唑硝酸鹽(Tonset=280~290℃)相當,強于烷基咪唑醋酸鹽(Tonset=220~230℃)[21]。
表1[Emim][OMP]與[Emim][OEP]的Tstart和Tonset
圖3[Emim][OMP]與[Emim][OEP]的熱重分析曲線圖
使用差示掃描量熱法對離子液體的固液相變進行了研究(圖4),結果表明[Emim][OMP]與[Emim][OEP]不存在熔點或凝固點,只有玻璃化轉變。[Emim][OMP]和[Emim][OEP]的Tg分別為-84.87℃和-85.00℃,即[Emim][OMP]與[Emim][OEP]并不存在真正意義上的固液相變,而只有冷卻或加熱過程中產生的無定形玻璃態與液態之間的轉變。
圖4[Emim][OMP]與[Emim][OEP]的DSC圖
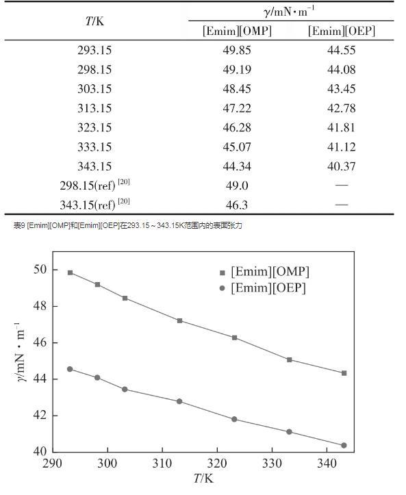
2.3表面張力
表面張力是一個對自由表面的物理和化學研究非常重要的性質,大部分離子液體的表面張力在30~60mN/m之間。[Emim][OMP]和[Emim][OEP]的表面張力實驗值如表9和圖5所示。對于亞磷酸酯離子液體,[Emim][OMP]在某論文中報道的其表面張力數據與本文最大偏差值達到了1.96mN/m。分析原因在于不同的課題組使用不同的測量方法測量表面張力,從而使測量實驗值產生較大的偏差。因此,對于表面張力的測定,要達到準確可靠且具有復現性存在一定難度。
[Emim][OMP]的表面張力大于[Emim][OMP],分析認為離子液體的表面張力隨陰離子體積的增大而減小。表面張力與溫度線性相關,根據式(13)可以計算離子液體的表面焓和表面熵。
γ=Hγ+SγT(11)
式中,γ為表面張力,mN/m;Hγ為表面焓,mJ/m2;Sγ為表面熵,mJ/(m2·K);T為熱力學溫度,K。
表面焓Hγ、表面熵Sγ、擬合相關系數R2和平均相對偏差Δ如表10所示,擬合相關系數R2均大于0.99,平均相對誤差Δ均小于1%,因此,表面張力線性擬合方程預測值與實驗值一致。根據擬合結果可以發現,[Emim][OMP]相比[Emim][OEP]具有更大的表面焓和表面熵,這歸因于離子液體陰離子體積增大使得表面張力減小。
3結論
本文合成了兩種烷基咪唑亞磷酸酯離子液體,即[Emim][OMP]和[Emim][OEP],使用核磁共振氫譜、碳譜和元素分析對產物進行了表征。在一定溫度下測定了產物的熱穩定性、相行為、密度、黏度、電導率和表面張力,通過數學模型關聯了實驗數據,并得到了以下結論。
(1)[Emim][OMP]和[Emim][OEP]只表現出玻璃化轉變而無凝固點和熔點,熱穩定性相比常見的烷基咪唑離子液體要略差。
(2)基于密度實驗值計算了離子液體的體積性質,包括熱膨脹系數、分子體積、標準熵和晶格能;基于表面張力實驗值計算了離子液體自由表面的熱力學性質,包括表面熵和表面焓。離子液體[Emim][OMP]和[Emim][OEP]的體積性質和表面熱力學性質變化與離子液體的分子量變化具有較強關聯性,其中分子量的增大來源于陰離子側鏈烷基的增長,離子液體的陰離子體積也會隨之增大,使得離子液體分子體積增大和表面張力減小,從而導致離子液體標準熵增大以及晶格能、表面熵和表面焓的減小。
(3)分別使用數學模型和經驗方程關聯離子液體的密度、黏度和電導率、表面張力。密度、黏度和電導率擬合相關系數均大于0.9999,表面張力擬合相關系數大于0.99,平均相對誤差均小于1%,結果表明所用的數學模型和經驗方程對離子液體的密度、黏度和電導率、表面張力均有較好的預測。這歸因于實驗儀器的精度較高,使得實驗數據偏差較小,而所選擇的數學模型能更好地擬合相關的實驗數據。
(4)離子液體[Emim][OMP]和[Emim][OEP]均遵循Walden規則,且均屬于“good ionic liquids”。





